儀器 H-600型透射電子顯微鏡,納米粒度儀、Ze-ta電位分析儀(英國馬爾文儀器有限公司), DC-RRY1000型電腦測控柔軟度儀,YG(B)541D型全自動數字式織物折皺彈性儀,YQ-Z-48B型熒光白度儀
1.2 硅乳的制備
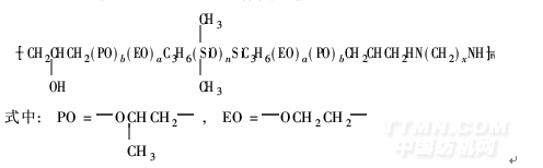
1取20 g嵌段型聚醚氨基硅油BPEAS, 6 g脂肪醇聚氧乙烯醚AEO-3;室溫攪拌混和均勻,再加入適量醋酸,調節體系pH值至5. 5~7. 0,然后邊機械攪拌邊滴加去離子水,制成含固量為30%的透明狀微乳———BPEAS硅乳。BPEAS的結構式如下:
.png)
1.3 硅乳物化性能測試及表征
1. 3. 1 物化性能測試[7, 8]
(1)離心穩定性 在15 mL離心試管內加入12 mL含固量為30%的BPEAS硅乳,放入離心沉淀器里,以3 000 r/min轉速離心,每隔10、20、30、60 min觀察一次,如果沒有出現分層和漂油現象,則穩定性良好。
(2)稀釋穩定性 在150 mL燒杯中稱取1. 0 g含固量為30%的BPEAS硅乳,分別加入29 g和59 g去離子水,稀釋至含固量為1%和0. 5%,靜置放置一周,如果沒有出現分層和漂油現象,則穩定性良好。
(3)耐弱酸堿穩定性 在150mL燒杯中稱取10 g含固量為30%的BPEAS硅乳,分別加入0. 5 mL醋酸溶液和0. 5 mL碳酸鈉溶液,靜置放置一周,如果沒有出現分層和漂油現象,則穩定性良好。
1. 3. 2 乳膠粒子的形態
用去離子水稀釋BPEAS硅乳液至含固量為0. 1%,經0. 5%磷鎢酸染色后,用H-600型透射電子顯微鏡觀察、拍照。
1. 3. 3 粒徑分布及ζ電位
用去離子水稀釋BPEAS硅乳液至含固量為1. 0%,用納米粒度儀及Zeta電位分析儀測定粒徑分布及ζ電位。
1.4 整理與測試
1. 4. 1 整理工藝
取含固量30%的BPEAS硅乳液,用水按比例稀釋即BPEAS乳液∶水=1∶100(質量比),配成整理用工作液;將待處理的布樣于上述整理液中一浸一軋進行整理,軋余率約70%;100℃烘燥5min,170℃定形3min。
1.4.2 性能測定
取BPEAS整理后的棉布樣,在溫度(20±2)℃和相對濕度65%±2%條件下平衡24 h,然后進行性能測試。
(1)柔軟性 以彎曲剛度表示,用DC-RRY 1000型電腦測控柔軟度儀測定。彎曲剛度越小,柔軟性越好。
(2)折皺回復角 用YG(B)541D型全自動數字式織物折皺彈性儀測定。
(3)白度 用YQ-Z-48B型熒光白度儀測定。
(4)吸水性[9] 用標準滴管(25滴/mL)從距離織物2 cm高度處向水平鋪展的織物表面滴1滴水,測定在靜態情況下,織物吸收完1滴水所用的時間。
2 結果與討論
2.1 硅乳物化性能測試
按1. 3. 1節方法測試已制得的BPEAS硅乳液的各項物化性能。結果表明,用1. 2節方法制得的含固量為30%的BPEAS硅乳液離心穩定性、稀釋穩定性、耐弱酸堿穩定性較好。
2.2 硅乳性能表征
按1. 3. 2和1. 3. 3節方法觀察BPEAS硅乳液的形態,測定其粒徑分布及ζ電位,結果如圖1、圖2所示。
.png)
硅乳的粒徑及其分布會影響乳液的穩定性和滲透性。粒徑細小的硅乳,抗剪切穩定性高,滲透性強,易擴散至棉纖維內部。由圖1可見, BPEAS中乳膠粒均呈較規則球狀,分散性良好。平均粒徑僅為98. 8 nm,基本呈正態分布,且分布較窄。
.png)
圖2中,BPEAS硅乳粒子ζ電位為+73. 03mV,表面帶正電的乳膠粒間的靜電排斥有利于乳膠粒的穩定,可提高硅乳在使用過程中的抗剪切穩定性以及硅乳的貯存穩定性。此外,表面帶正電的乳膠粒更易與棉纖維表面的OH-很好地靜電結合,增加乳液在棉纖維表面的附著,從而提高了整理效果。
2.3 乳化劑對硅乳穩定性的影響
乳化劑用量會影響硅乳液的粒徑,進而影響其穩定性。以非離子型脂肪醇聚氧乙烯醚AEO-3為乳化劑,對相同黏度和氨值的嵌段型聚醚氨基硅油BPEAS進行乳化,研究乳化劑用量對硅乳液穩定性的影響,結果見表1。
<<上一頁[1][2][3]下一頁>>
相關信息 







推薦企業
推薦企業
推薦企業