在電場作用下,電荷在材料中定向移動而產生電流的特征稱為材料的導電性質。
纖維導電性指標:比電阻(specific resistance)。
各種物質的電阻與其長度成正比,與其橫截面積成反比,并和溫度有關。
比電阻是其長度和橫截面積各為一單位時的電阻。
①體積比電阻ρv(Ω•cm):指單位長度上所施加的電壓U,相對于單位截面上所流過的電流I之比,也叫電阻系數或電阻率。
.png)
②表面比電阻ρs(Ω):單位長度上的電壓(U/L)與單位寬度上流過的電流(I/H)之比。
.png)
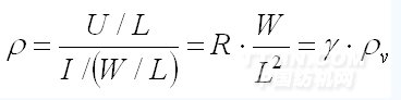
③質量比電阻ρm(Ω•g/cm2):單位長度上的電壓(U/L)與單位線密度纖維上流過的電流(I/(W/L))之比。一般紡織纖維質量比電阻的對數值在7以下為好。
影響纖維比電阻的外部因素
回潮率:纖維吸濕后導電性能有所改善,比電阻下降。
溫度:溫度升高,纖維和雜質等電離的電荷數增多,纖維的體積增大,比電阻下降。
纖維上的附著物:棉纖維的果膠雜質、羊毛的脂汗、蠶絲的絲膠、化纖的抗靜電劑的油劑。
其他因素:電壓高低、測定時間長短和使用的電極材料等。
纖維的介電性質
介電現象:是指絕緣體材料(也叫電介質)在外加電場作用下,內部分子形成電極化的現象。
衡量介電現象強弱的物理量為介電常數ε。在電場中,由于介質極化而引起相反電場,將使電容器的電容變化,其變化的倍數稱為介電常數。
[1][2]下一頁>>
相關信息 







推薦企業
推薦企業
推薦企業