染料的移染率越高代表移染性越好,越容易在織物表面發生遷移,出現染色不勻現象的幾率越小。
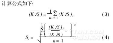
(7)勻染性
試樣采用1% (omf)染料染色, 130℃染色30min,然后測定試樣上任意8個點的K/S值,按式(3)計算8個點的K/S平均值,并按式(4)計算各點K/S值對平均值的相對偏差Sr(x),用以表示織物染色后顏色的相對不勻性。
.jpg)
(8)上染速率曲線
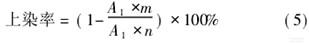
配制染料濃度為1%,浴比1∶30, pH值為10的染浴,每種染料配相同的12份,按如下工藝染色:室溫加入染料及pH值為10的緩沖溶液,升溫至80℃后,再以1℃/min升溫速率升溫至130℃,在130℃保溫染色60 min。在此過程中染樣分不同的溫度和不同的時間取出。染樣取法:當溫度升至80℃、90℃、100℃、110℃、120℃、130℃時,分別取每種染料的一個樣;在到達130℃保溫60min染色時,每隔10分鐘各取一個樣,然后按殘液法測定染料的上染百分率[見式(5)]。
![]()
式中:A1———染色殘液的吸光度
A0———染色原液的吸光度
m———染色殘液的稀釋倍數
n———染色原液的稀釋倍數
染色原液及殘液均用體積比為水∶DMF=1∶9的溶液稀釋,測其吸光度。
(9)染色牢度
耐洗色牢度 參照國標GB/T 3921. 3—1997《紡織品色牢度試驗耐洗色牢度:試驗3》測試。
耐摩擦色牢度 參照國標GB/T 3920—1997《紡織品色牢度試驗耐摩擦色牢度》測試。
(未完待續)
<<上一頁[1][2][3]
相關信息 







推薦企業
推薦企業
推薦企業