1試驗
1.1材料與儀器
織物 平紋錦綸織物128g/m
試劑 苯胺鹽酸鹽,氯化亞錫,葡萄糖,硝酸銀,氫氧化鈉,鹽酸,氨水,丙酮(國藥集團化學試劑有限公司,均為分析純)
儀器 KQ250DE型數控超聲波清洗器(昆山市超聲波儀器有限公司),RY25012常溫型染樣機(上海龍靈電子科技有限公司),RapidP-A0705型電動均勻軋車(瑞比公司),RTS-9型雙電測四探針測試儀(廣州四探針科技)
1.2Ag/PANI/PA導電織物的制備
1.2.1PA織物預處理
取氫氧化鈉質量濃度20g/L,溫度95℃,浴比1:50,對PA織物預處理60min;取出,用5%醋酸溶液浸洗,再用蒸餾水清洗,烘干。
1.2.2PANI/PA織物制備
將經處理過的PA織物浸入0.5mol/L苯胺鹽酸鹽(AniHC1)溶液中吸附至最大飽和吸附量,室溫晾干;浸人由0.2mol/L過硫酸銨(APS)和0.2mol/L鹽酸組成的氧化液中,浸漬片刻取出,在適當壓力下軋液,再將織物置于0oC環境中反應2h;取出室溫晾干,用丙酮清洗,以去除表面的短鏈產物,稱取質量m1。
1.2.3Ag/PANI/PA織物的制備
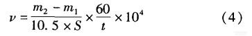
將制備的PANI/PA織物在一定條件下用二氯亞錫敏化,充分水洗;超聲條件下(100W)在化學鍍液中浸漬一定時間;取出,用水洗和乙醇反復清洗,烘干,稱取質量m2,。按式(4)計算Ag的沉積速率v:
.jpg)
相關信息 







推薦企業
推薦企業
推薦企業