提高涂層織物撕破強力
南通工學院 樊小東吳強
南通世佳紡織涂層有限公司 林榮 吳彤
摘要
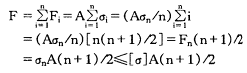
本文建立了一個涂層織物撕破強力力學模型,并根據此模型推導出織物可受總拉力公式為:
.gif)
式中:ZK(〗C—兩受力紗線之間的距離;
A—單根受拉紗線的面積;
n—同時受拉紗線根數;
б—受拉紗線拉應力;
E—紗線彈性模量;
[б]—紗線許用拉應力;
F?i—第i根紗線所受拉力;
Δl?i—第i根紗線由原長l?0受拉后的伸長量。
結論:
由于n根紗線同時受拉,使可承受的總拉力為原單根紗受力的(n+1)/2倍。
由上式可知,在涂層織物中,增加紗線之間的滑移(或減小涂層料的彈性模量),即減小兩受拉紗線之間的距離C,可增加同時受拉的紗線總根數n,從而增加織物的撕破強力。
可見,撕破強力大小很大程度上取決于紗線的移動(即滑移阻力)、斷裂伸長和分擔撕破力的紗線根數n。
而當織物經涂層整理后,織物中的紗線被粘著,同時部分涂層料嵌入織物內部(見圖一,二),
|
|
|
| 圖1涂層前后織物斷面情況 | 圖2織物撕破強力力學模型 |
致使紗線滑移(相互靠攏)受阻。嵌入織物組織內的量越多,涂層料彈性模量越高,則織物紗線之間的滑移阻力也越大,則織物的撕破強力也就越低。
從織物撕破強力的力學模型分析來看,縮小兩根受拉紗線之間的距離,是提高織物撕破強力的關鍵。只有通過增加紗線之間的滑移,才能達到加大受力三角區、增加受力紗線根數的目的。
試驗結果表明,PU樹脂模量、交聯劑的使用及涂覆厚度對撕破強力有顯著影響。焙烘溫度及助劑的酸堿性對基布的撕破強力也有一定的影響。要提高撕破強力,在滿足質量要求的情況下,
在生產中,我們通過采取以上措施,使涂層織物撕破強力在原有的基礎上提高了60%~100%,大大提高了產品的抗撕裂性能及其使用性能。
相關信息 







推薦企業
推薦企業
推薦企業