流化光催化反應器降解4BS染料的研究
1 試驗部分1.1 試驗裝置 試驗裝置(自制)由配水區、反應區、紫外光源、固液分離器等部分組成(見圖1),反應區的中間設有紫外燈和石英套管。含直接耐酸大紅4BS的原水通過穩定水箱連續定量地進入曝氣水箱中,與反應器循環出水一起進行曝氣,以提供光催化反應所需的溶解氧。在進水流速的作用下,光催化劑顆粒在反應區得到充分流化。反應區的容積為3.7L。 1.2 試驗方法 1.2.1 負載催化劑的制備

制成一定配比的含硅酸鈉與二氧化鈦的均勻懸濁液(負載溶液),對破碎的耐火磚顆粒(30~40目)載體進行表面處理,然后稱取一定重量的載體浸入負載溶液中,混合均勻后烘干、高溫處理、冷卻。此過程重復數遍后,用超聲波清洗10min,烘干后待用[1]。 1.2.2光催化氧化的工藝條件試驗 向水箱中注滿自來水,再加入4BS溶液,開啟水泵及風機,使4BS溶液混合均勻,15min后測定溶液的吸光度,此過程循環進行,直至達到試驗所需的濃度。然后將500g負載催化劑投 入反應器中,開啟水泵和風機并調節循環流量,使有效反應區內的負載催化劑均勻流化,運行30min,4BS溶液達到吸附平衡后取樣分析。開啟紫外光源,以后每隔一定時間取樣分析。試驗中控制pH=6.5~7.5,曝氣水箱中DO為9.5mg/L,固液分離器中DO為9. 0mg/L。 1.3 分析方法 4BS濃度測定采用分光光度法。測定樣品時,溶液的pH值調至6.5~7.5,用高速離心機(LD5—2A)分離20min后取上清液,用752紫外可見光柵分光光度計于500nm波長處測定溶液的吸光度。
2 結果與討論
2.1 催化劑濃度的影響 取濃度為25 mg/L的4BS溶液30L,在循環流量為25L/min時,以20W的紫外燈光照200min,催化劑濃度對光催化降解脫色速率的影響見圖2。

從圖2可以看出,當催化

假定4BS降解脫色反應符合一級動力學模式,根據ln(C0/C)=kt可求出不同4BS初始濃度時的反應速率常數k值(見表1)。
| 初始濃度 (mg/L) | 一級反應速率常數k (min-1) | 相關系數γ |
| 2.9 | 0.056 8 | 0.995 2 |
| 13.8 | 0.016 6 | 0.994 2 |
| 16.7 | 0.014 4 | 0.991 2 |
| 31.4 | 0.010 3 | 0.984 3 |
| 36.6 | 0.0076 | 0.980 1 |
假設k=nCa0,則lg k=lg n+algC0。經數學回歸可得到關系式:lg k=-0.9001-0.76lgC0,相關系數r=0.9956。由此可認為降解脫色速
| 初始pH值 | 4BS去除率(%) |
| 4.5 | 82 |
| 6.8 | 64 |
| 11 | 12.8 |
從表2可以看出,在pH=4.5時,對4BS有較大的去除率,而在堿性條件下去除率較低。 2.4 光源光強的影響 在2.2節的試驗條件下,光強對4BS(溶液濃度為28 mg/L)光催化降解脫色速率的影響見表3。
| 光照強度(W) | k(min-1) |
| 20(UV殺菌燈) | 0.009 79 |
| 375(高壓汞燈) | 0.029 0 |
從表3可明顯看出,375 W功率光照下的降解速率比20 W功率光照下的快,表明光源光強的 大小對反應速率有明顯的影響。 2.5循環流量的影響 在2.2節的條件下,循環流量對4BS(溶液濃度為24mg/L)光催化降解脫色速率的影響見表4 。
| 循環流量(L/min) | k(min-1) |
| 21.7 | 0.010 6 |
| 25 | 0.011 0 |
| 26.7 | 0.010 4 |
從表4可以看出,循環流量對光催化降解脫色速率幾乎沒有影響,這表明在光催化反應器系 統中可忽略溶質向催化劑表面的傳質影響。這是因為在流化床光催化反應器中,循環流量一般較大,以使反應器中有效區內的負載催化劑達到充分的流化。 2.6 應系統中無效容積的影響 在2.2節的條件下,反應系統中無效容積對4BS(溶液濃度為27mg/L)降解脫色效果的影響見圖4。

從圖4可以看出,反應系統的容積越大,4BS降解脫色速率越小。這一點可從下述反應器理論 得到解釋。根據系統中各組分的形狀及其內部水流的流態,可認為系統的有效反應區為理想推流式反應 器(PFR),其容積為V1,屬光化學反應有效容積;其余部分(固液分離器、曝氣水箱、 水泵和管道等)可近似看作恒流攪拌反應器(CFSTR),無化學反應,其容積為V2,屬無 效容積。系統模式見圖5。

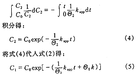
CFSTR反應器的物料平衡方程為: V2(dC2)dt=QC1-QC2 (1) 式中 C1——PFR中4BS出水濃度 C2——CFSTR中4BS的濃度 Q——循環流量 對于PFR,有: C1=C2exp(-Θ1k) (2) 式中 k——PFR中4BS降解脫色速率常數 Θ1=V1/Q——4BS在PFR中的停留時間 將式(2)代入式(1)得: dC2/dt=-(1/Θ2)[1-exp (-Θ1k)]C2=-(1Θ2)kappC 2 (3) 式中 Θ2=V2/Q——4BS在CFSTR中的停留時間 令C0和C2分別代表t=0和t=t時4BS在CFSTR中的濃度,根據式 (3)可得:

在式(4)、(5)中,當循環流量Q和反應時間t一定時,Θ1為一常數(因V 1=3.7 L),如V2減小,則Θ2減小,可以得出C1、C2降低, 這說明4BS降解脫色速率降低,這與圖4試驗數據的趨勢相符合。因此在設計反應器時,減小 系統中的無效容積不僅可減少系統造價,而且可以提高光催化降解速率。
3 結論
①負載于載體表面的TiO2粉末,既保留了光催化功能,又克服了粉末狀態易流失和難回收的弊端,催化劑可以重復使用; ②4BS溶液的初始pH值、初始濃度、光強等因素對其光催化降解脫色的反應速率有 較大影響; ③因為流化床光催化反應器的循環流量一般比較大,因而光催化反應區中的傳質作用可以忽略; ④確定最佳催化劑濃度是提高流化床光催化反應器光催化降解速率的一個重要因素; ⑤在流化床光催化反應系統中,4BS降解脫色速率隨著反應器系統中無效容積的增大而減小。
相關信息 







推薦企業
推薦企業
推薦企業