在圓形管道內形成渦流的方法有兩種:一是在高壓氣體作用下,氣流沿切線方向射入管道內,形成螺旋氣流,一邊繞軸心旋轉,一邊向出口推進(噴氣紡紗);第二種方法是用低真空抽引管道中的氣流,使管道內形成真空,氣流從管道的進風口以切線方向進入,形成旋轉氣流(渦流紡紗),如圖5—3所示。這種旋轉氣流的流動性質近似螺旋線,是一個旋轉渦流場,有切向速度、軸向速度和徑向速度。

它的徑向速度、軸向速度比切向速度小得多(見第四章噴氣紡紗中的分析)。切向速度的大小,表示氣流承載纖維運動的能力以及對承載纖維形成的離心效應。
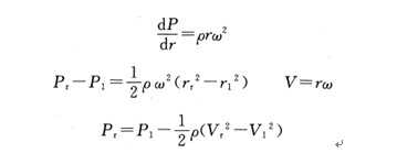
在圓管內,渦流場的氣流流動,除邊界(管壁)形成很薄一層附面層(氣流壓力和速度符合附面層分布規律)外,基本上近似固體渦流旋轉,徑向壓力差為:

式中:ρ為空氣密度;r為渦流半徑;ω為渦流旋轉角速度;P1為渦流邊界壓力;Pr為距中心半徑為r處的氣流壓力;r1為邊界層距渦流中心距離;rr為距離中心為r處的半徑;V為渦流的旋轉切向速度;V1為渦流場邊界氣流速度;Vr為距中心半徑為r處的氣流速度。
對于穩定渦流場,管內真空度不變,P1、V1是一定的常量。渦流中心:r=0,Vr=0,因此
可以看出,渦流中心處的壓力比渦流邊界(接近管壁)處低而形成真空,如圖5—4所示。
:

相關信息 







推薦企業
推薦企業
推薦企業