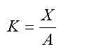
精梳機的落棉多少與梳理質量的好壞與給棉方式、落棉隔距、給棉長度、喂棉系數等因素有關;可通過喂棉過程分析,找出它們之間的內在聯系。1、喂棉系數
(1)前進給棉喂棉系數
在前進給棉過程中,頂梳插入須叢之前,已經開始給棉;在頂梳插入須叢后給棉仍在給棉,此時喂給的棉層因受頂梳的阻止而涌皺在頂梳的后面,直到頂梳離開須叢,涌皺的棉層再因彈性而挺直。把頂梳插入須叢前的喂棉長度與總喂棉長度的比值稱為喂棉系數,用公式表示為:

4-4-3式中:X -頂梳插入前給棉羅拉的喂棉長度(mm);
A-給棉羅拉的總喂棉長度(mm)。頂梳插入須叢越早或給棉開始越遲時,則X越小,K也越小,表示須叢在頂梳后涌皺越多。反之,X 越大,K也越大,須叢在頂梳后涌皺越少。當0≤X≤A時,則0≤K≤1。
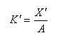
(2)后退給棉喂棉系數
在后退給棉過程中,須叢的涌皺受到鉗板閉合的影響,鉗板閉合后給出的棉層將涌皺在鉗唇的后面,它的影響程度可用喂棉系數K′表示:

4-4-4式中:X′-鉗板閉合前給棉羅拉的喂棉長度(mm);
A -總喂棉長度(mm)。
鉗板閉合越早,X′越小,K′也越小,鉗板后退時受錫林的須叢長度越短。當0≤X′≤A時,則0≤K′≤1。
2、前進給棉過程分析前進給棉過程
如圖4-4-5所示。圖中:Ⅰ-Ⅰ為鉗板在最后位置時鉗唇嚙合線,此時鉗板為閉合狀態;Ⅱ-Ⅱ為鉗板在最前位置時下鉗板鉗唇線,此時鉗板為開啟狀態;Ⅲ-Ⅲ為分離羅拉鉗口線;B為鉗板最前位置時鉗板鉗口與分離羅拉之間的距離,簡稱為分離隔距。

圖4-4-5前進給棉過程分析
(1)分離結束時,鉗板鉗口外的須叢垂直投影長度為B,而頂梳后面涌皺在須叢內的長度為:A-X=(1-K)A 。
(2)鉗板后退,頂梳退出,須叢挺直,鉗板鉗口外的須叢長度為:B + (1-K) A 。
(3)鉗板繼續后退、閉合,錫林
(4)鉗板前擺,鉗口開啟,給板羅拉給棉,當須叢前端進入分離鉗口而頂梳同時插入須叢時,鉗板鉗口外的須叢長度為: L1 + X = B + (1-K) A +KA=B+A。
(5)鉗板繼續前擺,給棉羅拉仍在繼續給棉,當鉗板鉗口到達最前位置Ⅱ-Ⅱ時,繼續給棉量為:A-X= (1-K ) A,這一部分棉層受到頂梳的阻礙而涌皺在頂梳后的須叢內,回復到過程(1),以后每一個工作循環,重復上述過程。
相關信息 







推薦企業
推薦企業
推薦企業