一、牽伸區內纖維分類
1、控制纖維--受前羅拉或后羅拉握持的纖維。
2、浮游纖維--未被前羅拉或后羅拉握持的纖維。
3、前纖維--被前羅拉握持的纖維。
4、后纖維--被后羅拉握持的纖維。
5、快速纖維--以前羅拉速度運動的纖維。
6、慢速纖維--以后羅拉速度運動的纖維。
二、控制力和引導力
(一)纖維受力
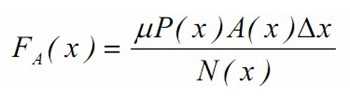
1.引導力FA以前羅拉速度運動的快速纖維作用于浮游纖維上的力--引導力。
X-X截面處:
A(x) —與某根纖維接觸的快速纖維量
B(x)—與某根纖維接觸的慢速纖維量。
N(x)=A(x)+B(x) 總纖維數。
P(x) 壓應力快速纖維與該纖維的接觸幾率為:A(x)/N(x)
慢速纖維與該纖維的接觸幾率為:B(x)/N(x)

引導力
μv是動摩擦系數,l為纖維長度,μ0是靜摩擦系數。
a---- 纖維后端離羅拉鉗口的距離。
作用在整根纖維上的引導力:

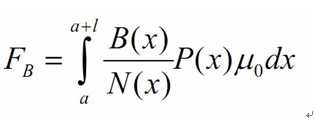
2、控制力FB
以后羅拉速度運動的慢速纖維對浮游纖維的作用力,作用在整根纖維上的控制力

FB>F A浮游纖維仍然保持慢速。
FA>F B浮游纖維將變速。
(二)影響FA 的主要因素 FB
1、纖維數量分布
(1)靠近前鉗口附近,A(x)>B(x)
(2)靠近后鉗口附近,B(x)>A(x)
2、摩擦力界強度分布P(x)
3、纖維的性能
一般長纖維頭端靠近前鉗口時才變速,短纖維變速比長纖維早。
三、纖維變速點分布與紗條不勻
(一)理想情況下牽伸(纖維變速)及紗條不勻
1、假設條件
(1)纖維都是平行伸直的;
(2)都是等長的;
(3)每根纖維都是頭端到達前鉗口才變速經牽伸后兩根纖維頭端移距為
2、結論
(1)經理想牽伸后,須條中纖維之間的頭端移距增大到原來的E倍,紗條截面內的纖維根數減少E倍。
(2)紗條經過牽伸后,仍然能夠保持牽伸前所具有的結構。
(3)紗條的不勻率沒有因牽伸而增加而是不勻的波長增大了E倍。
推廣:若纖維同在牽伸區中的某一位置(不一定在
鉗口)變速不產生新的不勻.

二)實
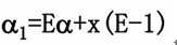
(1)若A纖維變速點在X1-X2 處,B纖維變速點在X2-X2處
牽伸后,A、B兩纖維頭端移距為
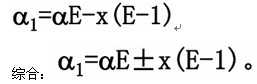
(2)如A在X2-X1 處,B在X1-X1處變速,牽伸后,A、B兩纖維頭端移距為
綜合:

x-開始變速的位置偏差
α =x(E-1) ---移距偏差
相關信息 







推薦企業
推薦企業
推薦企業