梭子引緯運動分析
織機主軸回轉一周時間內,梭子經歷了靜止、擊梭、自由飛行、制梭、靜止幾個階段。
擊梭:皮結與梭子接觸到梭子開始脫離皮結。
自由飛行:梭子離開皮結進入梭口直至離開梭口。
制梭:梭子離開梭口,進入對側梭箱受到制梭及緩沖作用。
靜止:停在一定位置上,待下一次反向擊梭。
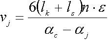
1. 梭子在梭口中的飛行速度
梭子相對筘座的運動速度,簡稱梭子速度。
n---織機轉速;lk---梭子長度;ls——梭子飛行距離
由上式可知:梭子進梭口速度與以下因素有關:
(1)上機筘幅。
(2)織機速度。
(3)梭子進出梭口的時間差,也就是梭子在筘幅中飛行的時間(均以主軸的轉角表示)。
2、擊梭
擊梭工作由投梭機構完成,投梭機構是一個彈性系統,在擊梭過程中因受力而變形。
(1) 梭子(或皮結)靜、動態位移曲線
靜態位移曲線:用于緩慢轉動織機主軸(排除投梭機構變形的影響),所測得的梭子位移曲線(s)
動態位移曲線:用電測法測得的主軸不同位置角所對應的梭子位移曲線(x)(織機正常運轉時)
代表變形f:動靜態位移曲線之間的差異f,集中反映擊梭過程中,投梭機構的變形。
(2) 擊梭工藝參數
(a)投梭動程(亦即投梭力):皮結與梭子共同移動的距離?;蛞造o態位移規律中梭子(或皮結)的最大動程Smax表示。其大小直接決定梭子的飛行速度及進出梭口的時間。
生產中以擊梭終了時,投梭棒的里側到梭箱底板里端的距離s表示。
投梭力對織造影響:
投梭力過大:梭子進梭箱后產生回跳,定位不良,造成軋梭或者飛梭;
易產生崩緯,脫緯(特別是粗支紗);
梭子和機物料損耗大;
織機動力消耗增加,噪音、振動增加。
投梭力過?。?
梭子出梭口比較
梭子進梭箱時,由于速度小,不能進入梭箱中正常位置,換梭不良或易造成下次投梭時由于投梭力不足造成軋梭。
綜上所述,在保證梭子能順利通過梭口和不影響梭子正常定位的前提下,投梭力越小越好。
(b)投梭時間:織機運轉中,投梭轉子與投梭鼻開始接觸時主軸的位置角,稱為投梭時間。
生產中,一般以投梭棒開始推動梭子時,即投梭轉子與投梭鼻相碰時,鋼筘至胸梁內側的距離來表示。
投梭時間的早遲,直接影響的大小。
投梭時間過早:a.梭子進梭口早,梭口高度小,邊經斷頭增多。
b.進梭口時,梭口清晰度較差,易產生邊跳紗等織疵。
c.進梭口時,底層經紗與走梭板間距離較大,梭子飛行不穩。
投梭時間過遲:a.與上述情況相反
b.可供梭子飛行時間的利用率,要使梭子飛行速度增加,則投梭力必須提高,不利于生產。
一般在條件允許的情況下適當提早投梭時間,以減小機物料消耗。
相關信息 







推薦企業
推薦企業
推薦企業